当前位置:首页 >  科教卫生
巴彦淖尔中小学教师招聘最新公告!
发布时间:2025-03-06 19:03:45 编辑:乔萍 来源:河套融媒

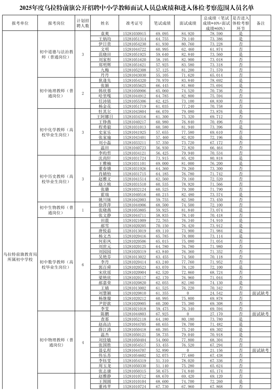
2025年度乌拉特前旗公开招聘中小学教师面试人员总成绩和进入体检考察范围人员名单公告

乌拉特前旗2025年中小学教师公开招聘面试工作已于3月2日全部结束,现将面试人员总成绩和进入体检、考察范围人员予以公布。

咨询电话:0478-3606615

附件:2025年度乌拉特前旗公开招聘中小学教师面试人员总成绩和进入体检考察范围人员名单.pdf

乌拉特前旗教育局

2025年3月6日


2025年度乌拉特前旗公开招聘中小学教师面试人员总成绩和进入体检考察范围人员名单

乌拉特中旗2025年中小学教师公开招聘进入体检考察范围人员进行递补公告

乌拉特中旗教育局所属小学“小学英语教师”(高校毕业生岗位)考生刘禹佳(准考证号:15281023009)自愿放弃招聘资格,该岗位出现缺额,根据总成绩排名和招聘计划数,依次递补考生赵丹妮(准考证号:15281022919)进入体检考察环节。

乌拉特中旗教育局

2025年3月6日

乌拉特后旗教育局赴内蒙古师范大学2025年招聘教师拟聘用人员公示

根据《巴彦淖尔市教育系统部分学校赴内蒙古师范大学招聘教师公告》,按照公开、平等、竞争、择优的原则,经报名、资格初审、资格复审、面试、体检和考察等程序,现对乌拉特后旗教育局8名拟聘用人员公示如下。

一、公示名单

二、公示时间

公示时间从2025年3月6日至2025年3月12日。

三、受理方式

公示期间,单位和个人均可通过来访、来函、电话等形式反映公示对象的有关情况和问题。对所反映的问题应提供可供调查的证明人以及其它有关线索。我们对反映问题者和所反映的问题将严格保密。对反映的问题一经查实,取消其聘用资格。

公示办公室设在:乌拉特后旗教育局人事股

受理时间:工作日上午9:00-12:00,下午15:00-18:00

受理电话:0478-4910529,13789685298

电子邮箱:[email protected]

通信地址:乌拉特后旗教育局人事股

邮政编码:015543

乌拉特后旗教育局

2025年3月6日

bdall.peaapk.com xtrb.peaapk.com hdwxxg.peaapk.com qhdceo.peaapk.com tsxxg.peaapk.com lyshangdu.peaapk.com hsrb.peaapk.com lanfxx.peaapk.com chengdenews.peaapk.com szyongdian.peaapk.com dtnews.peaapk.com yqnews.peaapk.com changzhinews.peaapk.com jcnews.peaapk.com sxjzxww.peaapk.com sxycrb.peaapk.com lfxww.peaapk.com sxllnews.peaapk.com nmgnews.peaapk.com baotounews.peaapk.com tlsxxg.peaapk.com bynesrmtzx.peaapk.com shenyangx.peaapk.com dlxxgs.peaapk.com northtimes.peaapk.com jilin.peaapk.com ccxxg.peaapk.com 0437.peaapk.com ybrbnews.peaapk.com avapk